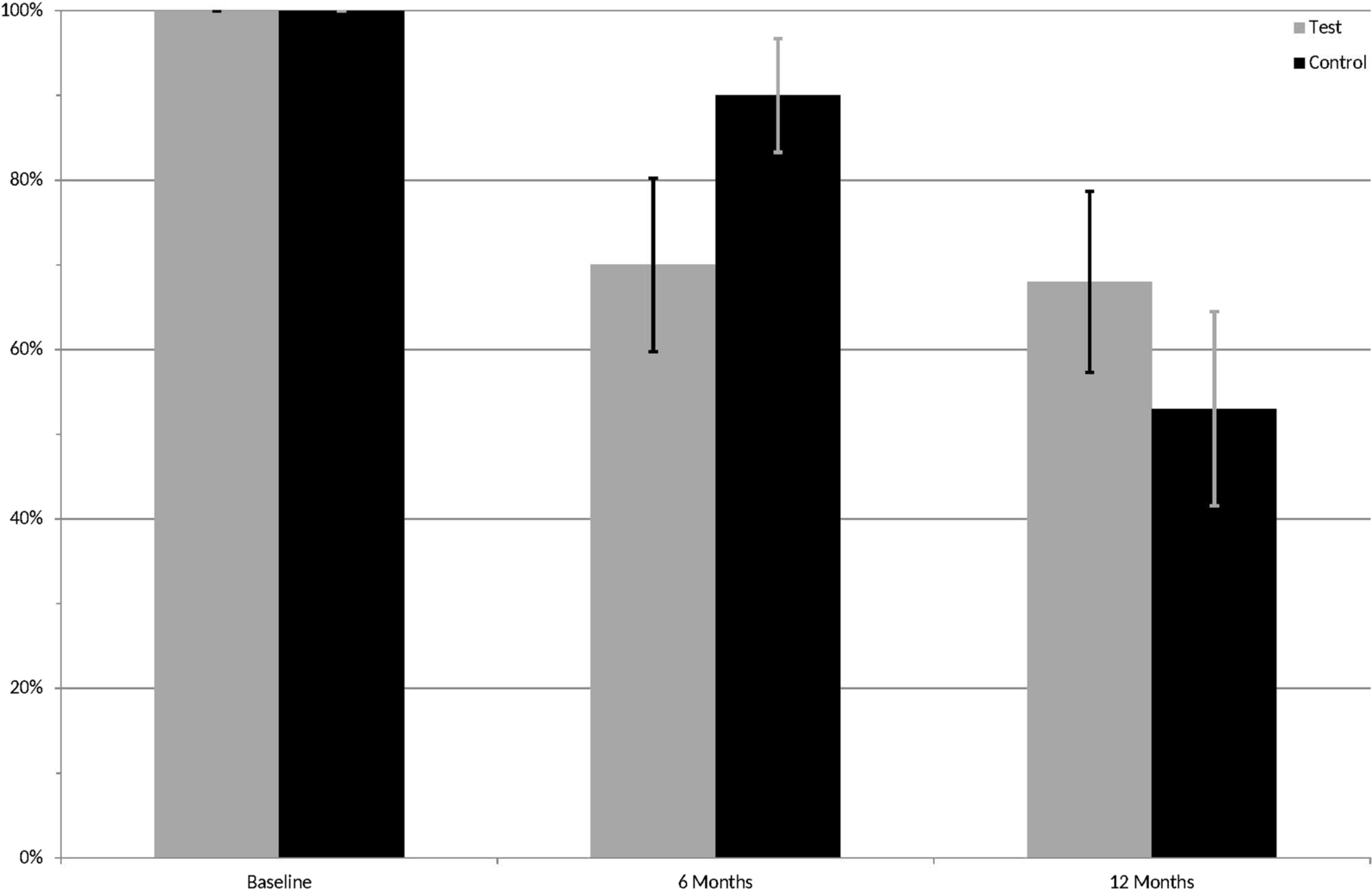
Fig. 3From: A 12-month randomized controlled trial evaluating erythritol air-polishing versus curette/ultrasonic debridement of mandibular furcations in supportive periodontal therapyPercent test and control furcation sites showing bleeding on probing at baseline, 6 and 12 monthsBack to article page