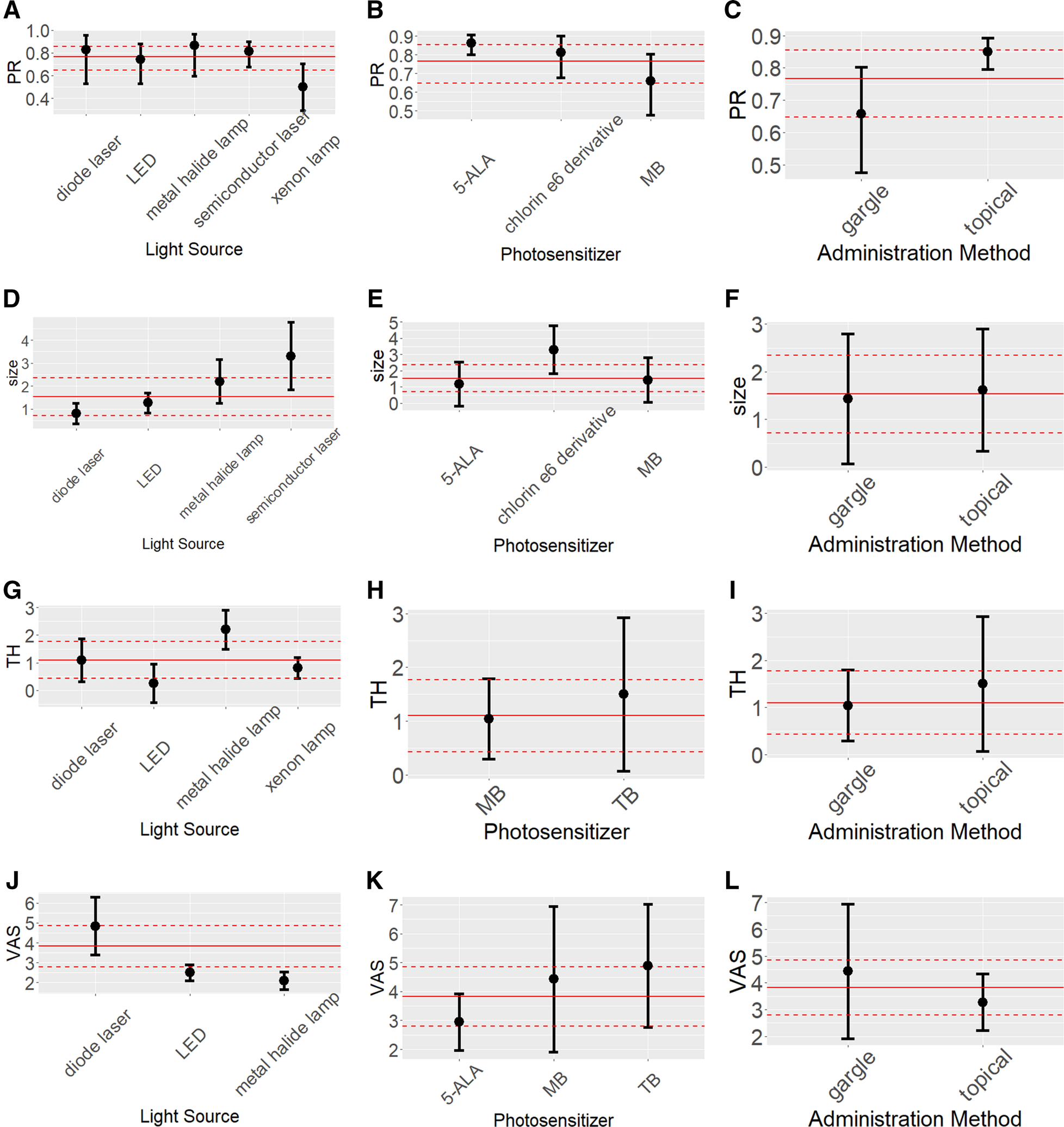
Fig. 3

a-j showed the results of subgroup analysis with random effects model, three factors were considered for subgroup analysis, namely, light sources (a, d, g, j), photosensitizers (b, e, h, k), administration methods (c, f, i, l). The three plots at the first column represent the results of PR, the plots at the second column represent the results of size, the plots at the third column represent the results of TH, the plots at the fourth column represent the results of VAS. The plots at the third column represent the results of VAS. The full red lines in the plots indicate the pooled overall estimates and the dashed red lines indicate the lower limits and upper limits of their 95% CI